Упр.4.17 ГДЗ Мордковича 10 класс профильный уровень (Алгебра)
Решение #1
Решение #2(записки учителя)
Решение #3(записки школьника)

Рассмотрим вариант решения задания из учебника Мордкович, Семенов 10 класс, Мнемозина:
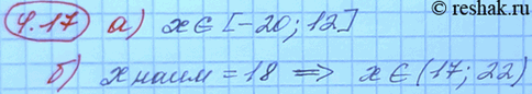
а Найдите отрезок наименьшей длины, содержащий 33 целых числа, большее из которых есть 12.
б) Найдите промежуток наибольшей длины, содержащий не более четырех целых чисел, меньшее из которых есть 18.
Похожие решебники
Популярные решебники 10 класс Все решебники
*размещая тексты в комментариях ниже, вы автоматически соглашаетесь с пользовательским соглашением