Упр.38.19 ГДЗ Мордковича 10 класс профильный уровень (Алгебра)
Решение #1
Решение #2(записки учителя)
Решение #3(записки школьника)
Решение #4

Рассмотрим вариант решения задания из учебника Мордкович, Семенов 10 класс, Мнемозина:
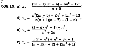
a) xn = ((2n + n)(3n - 4) - 6n2 + 12n)/(n + 5);
б) xn = (n2(2n + 5) - 2n3 + 5n2 - 13)/(n((n + 1)(n - 7) + (1 - n)));
в) xn = ((1 - n)(n2 + 1) + n3)/(n2 + 2n);
г) xn = (n(7 - n2) + n3 - 3n - 1)/((n + 1)(n + 2) + (2n2 + 1).
Похожие решебники
Популярные решебники 10 класс Все решебники
*размещая тексты в комментариях ниже, вы автоматически соглашаетесь с пользовательским соглашением