Упр.37.5 ГДЗ Мордковича 10 класс профильный уровень (Алгебра)
Решение #1
Решение #2(записки учителя)
Решение #3(записки школьника)

Рассмотрим вариант решения задания из учебника Мордкович, Семенов 10 класс, Мнемозина:
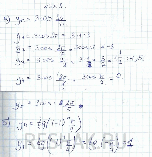
a) уn = 3 cos 2пи/n;
б) Уn = tg ((-1)n пи/4);
в) Уn = 1 - cos2 пи/n;
г) Уn = sin пи n - cos пи n.
Похожие решебники
Популярные решебники 10 класс Все решебники
*К сожалению, временные проблемы с публикацией комментариев с мобильных устройств.