Упр.34.13 ГДЗ Мордковича 10 класс профильный уровень (Алгебра)
Решение #1
Решение #2(записки учителя)
Решение #3(записки школьника)

Рассмотрим вариант решения задания из учебника Мордкович, Семенов 10 класс, Мнемозина:
a) z = cos (13,2пи) + i sin (13,2пи);
б) z = cos (-12,3пи) + i sin (-12,Зпи);
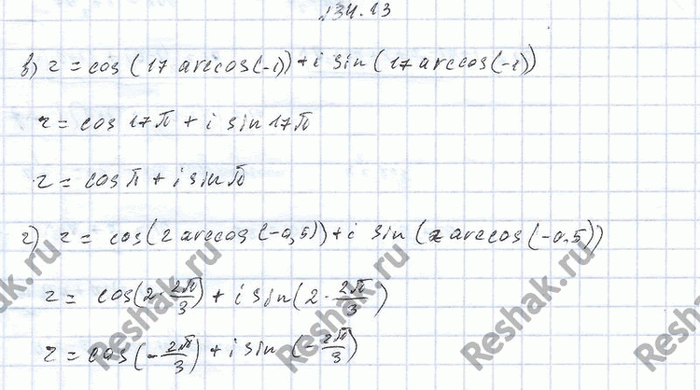
в) z = cos (17 arccos (-1)) + i sin (17 arccos (-1));
г) z = cos (2 arccos (-0,5)) + i sin (2 arccos (-0,5)).
Похожие решебники
Популярные решебники 10 класс Все решебники
*размещая тексты в комментариях ниже, вы автоматически соглашаетесь с пользовательским соглашением