Упр.31.41 ГДЗ Мордковича 10 класс профильный уровень (Алгебра)
Решение #1
Решение #2(записки учителя)
Решение #3(записки школьника)

Рассмотрим вариант решения задания из учебника Мордкович, Семенов 10 класс, Мнемозина:
a) корень(25 - 4х2) (3 sin 2пи x + 8 sin пи x) = 0;
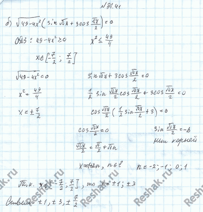
б) корень(49 - 4x2) (sin пи x + 3cos (пи x)/2) = 0.
Похожие решебники
Популярные решебники 10 класс Все решебники
*размещая тексты в комментариях ниже, вы автоматически соглашаетесь с пользовательским соглашением