Упр.30.16 ГДЗ Мордковича 10 класс профильный уровень (Алгебра)
Решение #1
Решение #2(записки учителя)

Рассмотрим вариант решения задания из учебника Мордкович, Семенов 10 класс, Мнемозина:
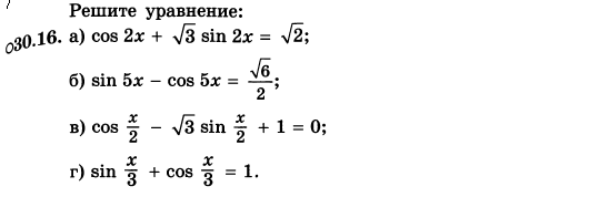
Решите уравнение:
a) cos 2x + корень3 sin 2x = корень2;
б) sin 5x - cos 5x = корень6 / 2;
в) cos x/2 - корень3 sin x/2 + 1 = 0;
г) sin x/3 + cos x/3 = 1.
Похожие решебники
Популярные решебники 10 класс Все решебники
*К сожалению, временные проблемы с публикацией комментариев с мобильных устройств.