Упр.28.26 ГДЗ Мордковича 10 класс профильный уровень (Алгебра)
Решение #1
Решение #2(записки учителя)
Решение #3(записки школьника)
Решение #4

Рассмотрим вариант решения задания из учебника Мордкович, Семенов 10 класс, Мнемозина:
Решите уравнение:
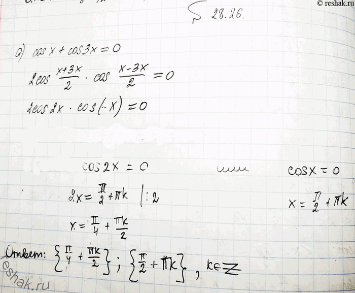
a) cos х + cos Зх = 0;
б) sin 12х + sin 4х = 0;
в) cos х = cos 5х;
г) sin 3х = sin 17х.
Похожие решебники
Популярные решебники 10 класс Все решебники
*К сожалению, временные проблемы с публикацией комментариев с мобильных устройств.