Упр.22.7 ГДЗ Мордковича 10 класс профильный уровень (Алгебра)
Решение #1
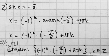
Решение #2(записки учителя)
Решение #3(записки школьника)
Решение #4

Рассмотрим вариант решения задания из учебника Мордкович, Семенов 10 класс, Мнемозина:
Сколько корней имеет заданное уравнение на заданном промежутке:
а) cos x = 1/3, x принадлежит [1; 6];
б) cosx = -0,4, x принадлежит [3; 11]?
Похожие решебники
Популярные решебники 10 класс Все решебники
*размещая тексты в комментариях ниже, вы автоматически соглашаетесь с пользовательским соглашением