Упр.2.16 ГДЗ Мордковича 10 класс профильный уровень (Алгебра)
Решение #1
Решение #2(записки учителя)
Решение #3(записки школьника)

Рассмотрим вариант решения задания из учебника Мордкович, Семенов 10 класс, Мнемозина:
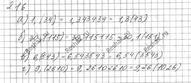
Запишите данные десятичные чисто периодические дроби в виде смешанных периодических десятичных дробей, определите их периоды. Единственно ли такое представление:
а) 1,(34); б) 30,(115); в) 6,(543); г) 9,(2610 ?
Похожие решебники
Популярные решебники 10 класс Все решебники
*К сожалению, временные проблемы с публикацией комментариев с мобильных устройств.