Упр.10.6 ГДЗ Мордковича 10 класс профильный уровень (Алгебра)
Решение #1
Решение #2(записки учителя)
Решение #3(записки школьника)

Рассмотрим вариант решения задания из учебника Мордкович, Семенов 10 класс, Мнемозина:
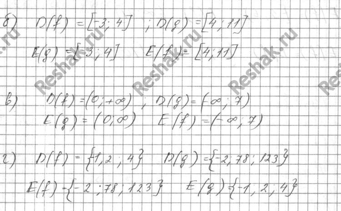
Найдите множество значений каждой из взаимно-обратных функций у = f(x) и у = g(x), если указаны их области определения:
а) D{f) = R, D(g) = [-2; +бесконечность);
б) D(f) = [-3; 4], D(g) = [4; 11];
в) D(f) = (0; +бесконечность), D(g) = (+бесконечность; 7));
г) D{f) = {-1; 2; 4}, D(g) = {-2; 78; 123}.
Похожие решебники
Популярные решебники 10 класс Все решебники
*К сожалению, временные проблемы с публикацией комментариев с мобильных устройств.