Упр.3 Вариант 2 Контрольная работа 1 ГДЗ Мордкович 9 класс (Алгебра)
Решение #1
Решение #2

Рассмотрим вариант решения задания из учебника Мордкович 9 класс, Мнемозина:
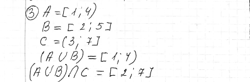
3. Для множеств А = [1; 4), В = [2; 5] и С = (3; 7] найдите множество (А пересечение B) объединение С.
Похожие решебники
Популярные решебники 9 класс Все решебники
*К сожалению, временные проблемы с публикацией комментариев с мобильных устройств.