Упр.6 Вариант 1 Контрольная работа 1 ГДЗ Мордкович 9 класс (Алгебра)
Решение #1
Решение #2

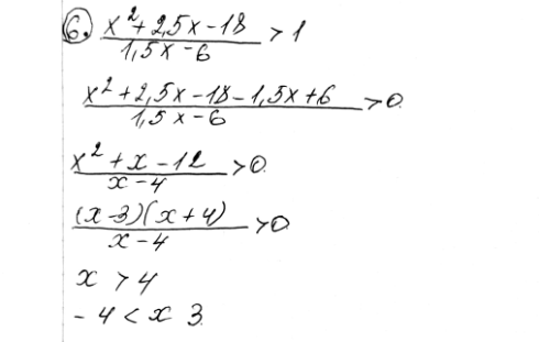
Рассмотрим вариант решения задания из учебника Мордкович 9 класс, Мнемозина:
6. Решите неравенство
Похожие решебники
Популярные решебники 9 класс Все решебники
*К сожалению, временные проблемы с публикацией комментариев с мобильных устройств.