Упр.8.34 ГДЗ Мордкович 9 класс (Алгебра)
Решение #1
Решение #2

Рассмотрим вариант решения задания из учебника Мордкович 9 класс, Мнемозина:
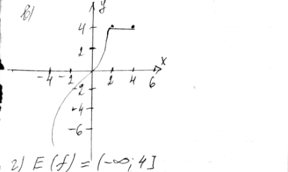
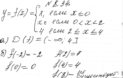
8.34. Дана функция у = f(x), где f(x) = система
x, если x < =0;
x2, 0 < x < 2;
4, 2 < =x < =4.
а) Укажите D(f);
б) вычислите: f(-2), f(0), f(2), f(4), f(8);
в) постройте график функции;
г) найдите E(f).
Похожие решебники
Популярные решебники 9 класс Все решебники
*размещая тексты в комментариях ниже, вы автоматически соглашаетесь с пользовательским соглашением