Упр.6.3 ГДЗ Мордкович 9 класс (Алгебра)
Решение #1
Решение #2

Рассмотрим вариант решения задания из учебника Мордкович 9 класс, Мнемозина:
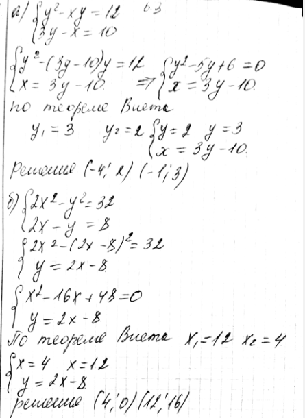
6.3 а) система
y2-xy=12,
3y-x=10;
б) система
2x2-y2=32,
2x-y=8;
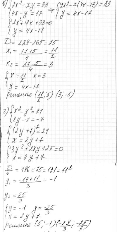
в) система
2x2-xy=33,
4x-y=17;
г) система
x2-y2=24,
2y-x=-7.
Похожие решебники
Популярные решебники 9 класс Все решебники
*К сожалению, временные проблемы с публикацией комментариев с мобильных устройств.