Упр.6.21 ГДЗ Мордкович 9 класс (Алгебра)
Решение #1
Решение #2

Рассмотрим вариант решения задания из учебника Мордкович 9 класс, Мнемозина:
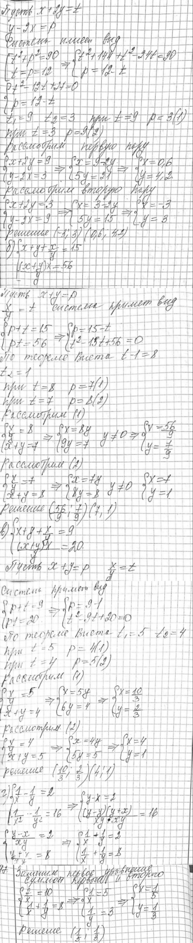
6.21 а) система
(x+2y)2+(y-2x)2=90,
(x+2y)+(y-2x)=12;
б) система
x+y+x/y=15,
(x+y)x/y=56;
в) система
x+y+x/y=9,
(x+y)x/y20;
г) система
1/x-1/y=2,
1/x2-1/y2=16.
Похожие решебники
Популярные решебники 9 класс Все решебники
*размещая тексты в комментариях ниже, вы автоматически соглашаетесь с пользовательским соглашением