Упр.4.25 ГДЗ Мордкович 9 класс (Алгебра)
Решение #1
Решение #2

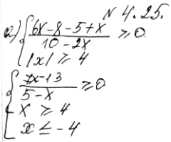
Рассмотрим вариант решения задания из учебника Мордкович 9 класс, Мнемозина:
4.25
Похожие решебники
Популярные решебники 9 класс Все решебники
*размещая тексты в комментариях ниже, вы автоматически соглашаетесь с пользовательским соглашением