Упр.4.13 ГДЗ Мордкович 9 класс (Алгебра)
Решение #1
Решение #2

Рассмотрим вариант решения задания из учебника Мордкович 9 класс, Мнемозина:
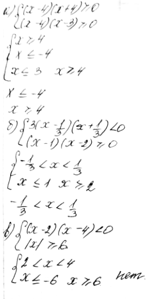
4.13 а) система
x2-16 > =0,
x2-7x+12 > =0;
б) система
9x2-1 < 0,
x2-3x+2 > =0;
в) система
x2-6x+8 < 0,
x2-36 > =0;
г) система
49x2-1 < 0,
x2+5x+6 > =0.
Похожие решебники
Популярные решебники 9 класс Все решебники
*размещая тексты в комментариях ниже, вы автоматически соглашаетесь с пользовательским соглашением