Упр.3.5 ГДЗ Мордкович 9 класс (Алгебра)
Решение #1
Решение #2

Рассмотрим вариант решения задания из учебника Мордкович 9 класс, Мнемозина:
3.5. Докажите, что заданное множество состоит из одного числа (элемента), и найдите это число:
а) {x| х2 < 0};
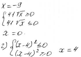
б) {х| х2 + 18х < = -81};
в) {x|41 корень x < -0 };
г) {х|х2 + 16 < 8х}.
Похожие решебники
Популярные решебники 9 класс Все решебники
*К сожалению, временные проблемы с публикацией комментариев с мобильных устройств.