Упр.2.3 ГДЗ Мордкович 9 класс (Алгебра)
Решение #1
Решение #2

Рассмотрим вариант решения задания из учебника Мордкович 9 класс, Мнемозина:
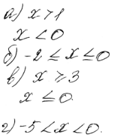
2.3. а) х2 - х > 0;
б) 2х + х2 < = 0;
в) х2 - 3х > = 0;
г) 5х + х2 < 0.
Похожие решебники
Популярные решебники 9 класс Все решебники
*К сожалению, временные проблемы с публикацией комментариев с мобильных устройств.