Упр.19.16 ГДЗ Мордкович 9 класс (Алгебра)
Решение #1
Решение #2

Рассмотрим вариант решения задания из учебника Мордкович 9 класс, Мнемозина:
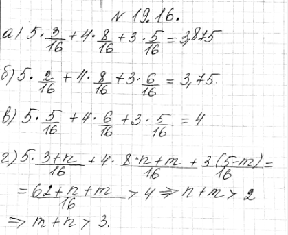
19.16. Девятиклассник за первое полугодие получил итоговые пятерки по трем предметам, четверки по восьми предметам и тройки по пяти предметам.
а) Найдите среднее значение его полугодовых оценок.
б) Каким было бы среднее значение, если бы он по физкультуре вместо пятерки получил бы тройку?
в) Каким было бы среднее значение, если бы он смог по математике и по литературе получить пятерки, а не четверки?
г) По какому наименьшему количеству предметов ему следует улучшить оценку на 1 балл для того, чтобы среднее значение его оценок стало больше 4?
Похожие решебники
Популярные решебники 9 класс Все решебники
*К сожалению, временные проблемы с публикацией комментариев с мобильных устройств.