Упр.18.1 ГДЗ Мордкович 9 класс (Алгебра)
Решение #1
Решение #2

Рассмотрим вариант решения задания из учебника Мордкович, Александрова 9 класс, Мнемозина:
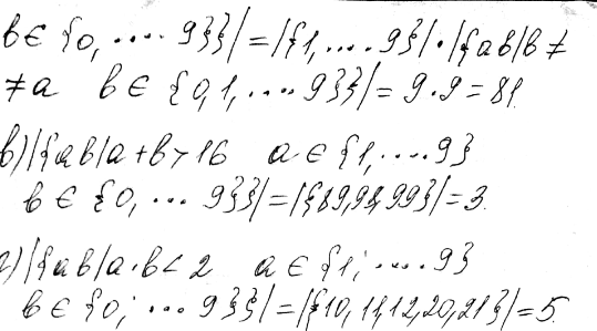
18.1. Найдите количество всех:
а) двузначных чисел;
б) двузначных чисел, состоящих из разных цифр;
в) двузначных чисел, сумма цифр которых больше 16;
г) двузначных чисел, произведение цифр которых меньше 2.
Похожие решебники
Популярные решебники 9 класс Все решебники
*К сожалению, временные проблемы с публикацией комментариев с мобильных устройств.