Упр.17.49 ГДЗ Мордкович 9 класс (Алгебра)
Решение #1
Решение #2

Рассмотрим вариант решения задания из учебника Мордкович 9 класс, Мнемозина:
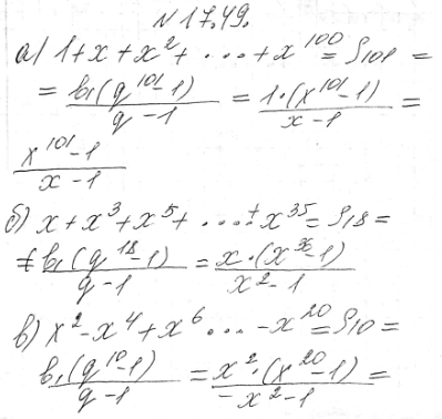
17.49 а) 1+x+x2+...+x100;
б) x+x3+x5+...+x35;
в) x2-x4+x6-...-x20;
г) 1/x+1/x2+...+1/x40, x=/0.
Похожие решебники
Популярные решебники 9 класс Все решебники
*К сожалению, временные проблемы с публикацией комментариев с мобильных устройств.