Упр.16.18 ГДЗ Мордкович 9 класс (Алгебра)
Решение #1
Решение #2

Рассмотрим вариант решения задания из учебника Мордкович 9 класс, Мнемозина:
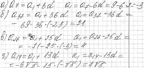
16.18. Найдите первый член арифметической прогрессии (an), если:
а) a7=9, d=2;
б) a37=-69, d=-2,5;
в) a26=-71, d=-3;
г) a14=-6 корень 5, d=- корень 5.
Похожие решебники
Популярные решебники 9 класс Все решебники
*К сожалению, временные проблемы с публикацией комментариев с мобильных устройств.