Упр.15.18 ГДЗ Мордкович 9 класс (Алгебра)
Решение #1
Решение #2

Рассмотрим вариант решения задания из учебника Мордкович 9 класс, Мнемозина:
15.18. Докажите, что число А является членом последовательности (уn), если:
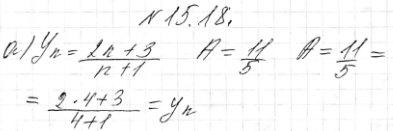
а) yn=(2n+3)/(n+1), A=11/5;
б) yn=2^(3n-11), A=128;
в) yn=3(n+2)^-2, A=1/12;
г) yn=(n-2) - 1, A=342
Похожие решебники
Популярные решебники 9 класс Все решебники
*размещая тексты в комментариях ниже, вы автоматически соглашаетесь с пользовательским соглашением