Упр.14.13 ГДЗ Мордкович 9 класс (Алгебра)
Решение #1
Решение #2

Рассмотрим вариант решения задания из учебника Мордкович, Александрова 9 класс, Мнемозина:
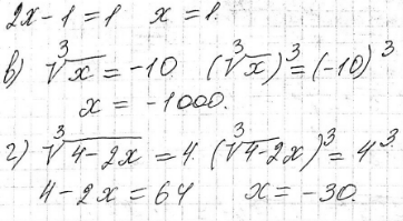
14.13.Решите уравнение:
а) корень х = 5;
б) корень 3 степени (2x - 1) = 1;
в) корень 3 степени x =-10;
г) корень 3 степени (4-2x)=4.
Похожие решебники
Популярные решебники 9 класс Все решебники
*К сожалению, временные проблемы с публикацией комментариев с мобильных устройств.