Упр.13.24 ГДЗ Мордкович 9 класс (Алгебра)
Решение #1
Решение #2

Рассмотрим вариант решения задания из учебника Мордкович 9 класс, Мнемозина:
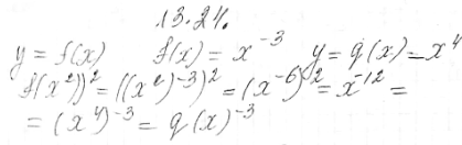
13.24. Даны функции y=f(x) и y=g(x), где f(x)=x^-3, g(x)=x4. Докажите, что (f(x2))2/32=(g(x))^-3.
Похожие решебники
Популярные решебники 9 класс Все решебники
*К сожалению, временные проблемы с публикацией комментариев с мобильных устройств.