Упр.12.9 ГДЗ Мордкович 9 класс (Алгебра)
Решение #1
Решение #2

Рассмотрим вариант решения задания из учебника Мордкович 9 класс, Мнемозина:
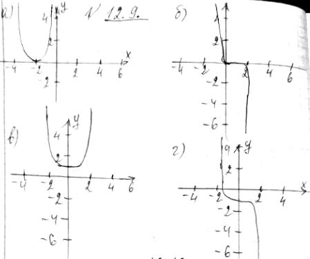
Постройте график функции:
12.9. а) у= (х + 2)4;
б) у = - (x- 1)5;
в) y=x6+1;
г) y=-x7-1.
Похожие решебники
Популярные решебники 9 класс Все решебники
*К сожалению, временные проблемы с публикацией комментариев с мобильных устройств.