Упр.11.33 ГДЗ Мордкович 9 класс (Алгебра)
Решение #1
Решение #2

Рассмотрим вариант решения задания из учебника Мордкович 9 класс, Мнемозина:
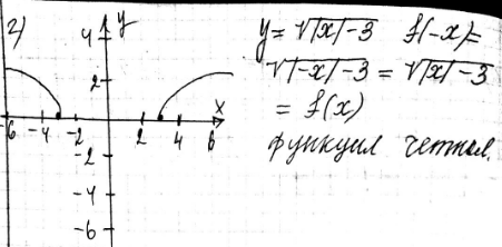
11.33 а) y= корень |x|;
б) y= - (корень |x|) + 2;
в) y= - (корень |x|);
г) y= корень |x| - 3.
Похожие решебники
Популярные решебники 9 класс Все решебники
*К сожалению, временные проблемы с публикацией комментариев с мобильных устройств.