Упр.10.19 ГДЗ Мордкович 9 класс (Алгебра)
Решение #1
Решение #2

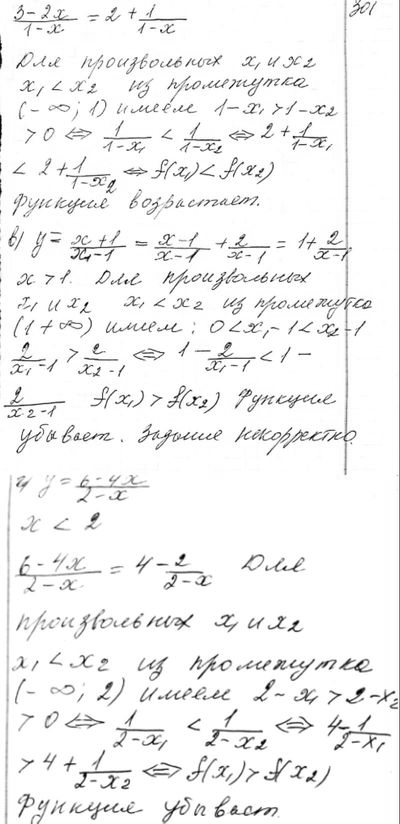
Рассмотрим вариант решения задания из учебника Мордкович 9 класс, Мнемозина:
10.19
Похожие решебники
Популярные решебники 9 класс Все решебники
*размещая тексты в комментариях ниже, вы автоматически соглашаетесь с пользовательским соглашением