Упр.56 Итоговое повторение Арифметическая и геометрическая прогрессии ГДЗ Мордкович 9 класс (Алгебра)
Решение #1
Решение #2

Рассмотрим вариант решения задания из учебника Мордкович 9 класс, Мнемозина:
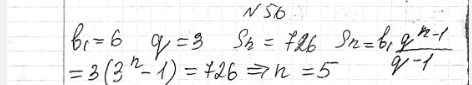
56. Найдите число членов геометрической прогрессии (bn), если b1 = 6, q = 3, Sn = 726.
Похожие решебники
Популярные решебники 9 класс Все решебники
*К сожалению, временные проблемы с публикацией комментариев с мобильных устройств.