Упр.35 Итоговое повторение Задачи на составление уравнений или систем уравнений ГДЗ Мордкович 9 класс (Алгебра)
Решение #1
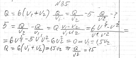
Решение #2

Рассмотрим вариант решения задания из учебника Мордкович 9 класс, Мнемозина:
35. Две бригады, работая одновременно, могут выполнить некоторое задание за 6 дней. Одна бригада, работая отдельно, может выполнить это задание на 5 дней быстрее, чем вторая. За какое время может выполнить все задание вторая бригада, работая отдельно?
Похожие решебники
Популярные решебники 9 класс Все решебники
*размещая тексты в комментариях ниже, вы автоматически соглашаетесь с пользовательским соглашением