Упр.26 Итоговое повторение Задачи на составление уравнений или систем уравнений ГДЗ Мордкович 9 класс (Алгебра)
Решение #1
Решение #2

Рассмотрим вариант решения задания из учебника Мордкович 9 класс, Мнемозина:
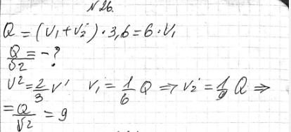
26. Двое рабочих, работая совместно, могут выполнить заказ за 3 ч 36 мин. Первый рабочий, работая один, может выполнить этот заказ за 6 ч. Сколько времени необходимо второму рабочему для выполнения заказа, если он будет работать один?
Похожие решебники
Популярные решебники 9 класс Все решебники
*К сожалению, временные проблемы с публикацией комментариев с мобильных устройств.