Упр.919 ГДЗ Макарычев Миндюк 9 класс (Алгебра)
Решение #1
Решение #2
Решение #3

Рассмотрим вариант решения задания из учебника Макарычев, Миндюк, Нешков 9 класс, Просвещение:
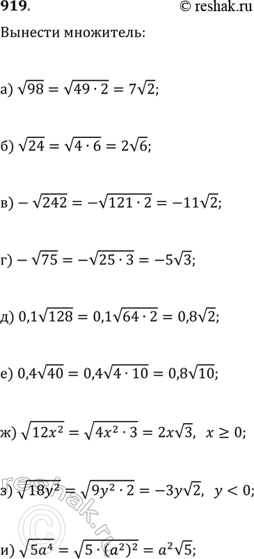
919. Вынесите множитель за знак корня:
а) корень 98; г) - корень 75; ж) корень 12x2 , где x > = 0;
б) корень 24; д) 0,1 корень 128; з) корень l8y2, где у < 0;
в) - корень 242; е) 0,4 корень 40; и) корень 5a4.
Похожие решебники
Популярные решебники 9 класс Все решебники
*К сожалению, временные проблемы с публикацией комментариев с мобильных устройств.