Упр.299 ГДЗ Макарычев Миндюк 9 класс (Алгебра)
Решение #1
Решение #2
Решение #3

Рассмотрим вариант решения задания из учебника Макарычев, Миндюк, Нешков 9 класс, Просвещение:
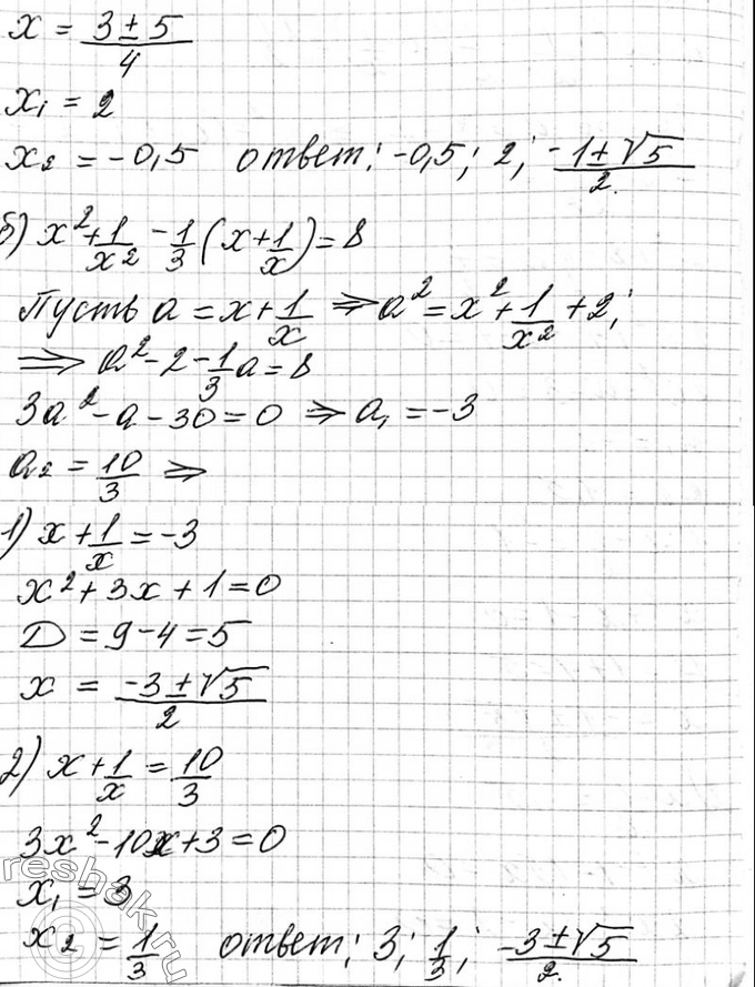
299. (Задача-исследование.) Существует ли такое положительное число, при сложении которого с числом, ему обратным, получится сумма, которая в 13 раз меньше суммы кубов этих чисел?
1) Обсудите, значения каких выражений сравниваются, и составьте соответствующее уравнение.
2) Решите уравнение, используя введение новой переменной.
3) Для каждого из найденных значений вспомогательной переменной вычислите корень составленного уравнения.
4) Выберите значения корней, соответствующие условию задачи.
Похожие решебники
Популярные решебники 9 класс Все решебники
*размещая тексты в комментариях ниже, вы автоматически соглашаетесь с пользовательским соглашением