Упр.102 ГДЗ Макарычев Миндюк 9 класс (Алгебра)
Решение #1
Решение #2
Решение #3

Рассмотрим вариант решения задания из учебника Макарычев, Миндюк, Нешков 9 класс, Просвещение:
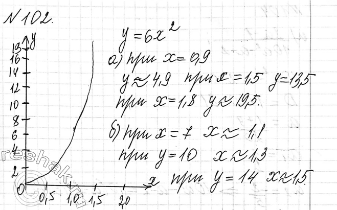
102. Площадь поверхности куба у (см2 ) зависит от ребра куба х (см). Задайте эту зависимость формулой. Постройте её график и найдите по графику:
а) площадь поверхности куба, если его ребро равно 0,9 см; 1,5 см; 1,8 см;
б) длину ребра, если площадь поверхности куба равна 7 см2; 10 см2; 14 см2.
Похожие решебники
Популярные решебники 9 класс Все решебники
*К сожалению, временные проблемы с публикацией комментариев с мобильных устройств.