Упр.1001 ГДЗ Макарычев Миндюк 9 класс (Алгебра)
Решение #1
Решение #2
Решение #3

Рассмотрим вариант решения задания из учебника Макарычев, Миндюк, Нешков 9 класс, Просвещение:
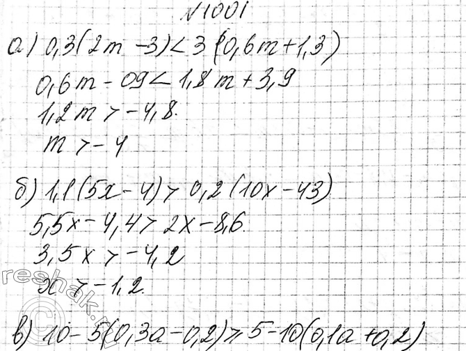
1001. Решите неравенство:
а) 0,3(2m - 3) < 3(0,6m + 1,3);
б) 1,1(5x - 4) > 0,2(10x - 43);
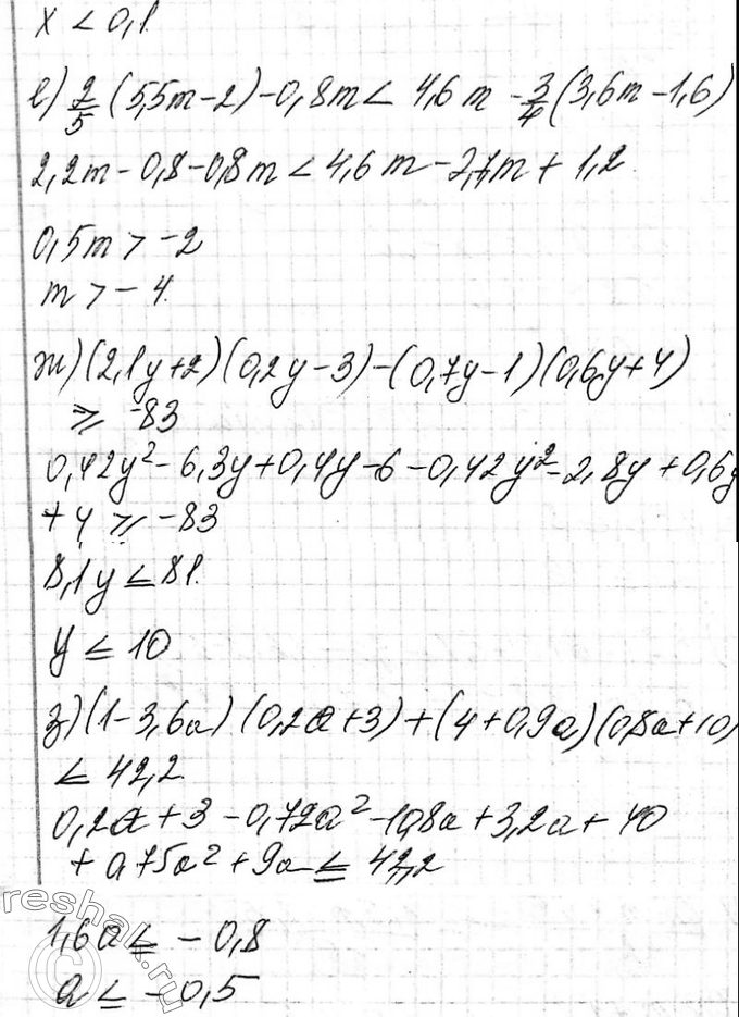
в) 10 - 5(0,3а - 0,2) > = 5 - 10(0,1а + 0,2);
г) 3,2(2b + 1) + 5,7 < = 7,3 - 1,6(3 - 5b);
д) 4,3x - 1(2,8x-0,6)/2 > 1/3*(3x+0,6) + 2,9x;
е) 2/5*(5,5m — 2) — 0,8m < 4,6m — 3/4*(3,6m — 1,6);
ж) (2,1 у + 2)(0,2 у - 3) - (0,7 - 1)(0,6y + 4) > = -83;
з) (1 - 3,6а)(0,2а + 3) + (4 + 0,9а)(0,8а + 10) < = 42,2.
Похожие решебники
Популярные решебники 9 класс Все решебники
*размещая тексты в комментариях ниже, вы автоматически соглашаетесь с пользовательским соглашением