Упр.17.28 ГДЗ Мордкович 8 класс (Алгебра)
Решение #1
Решение #2

Рассмотрим вариант решения задания из учебника Мордкович 8 класс, Мнемозина:
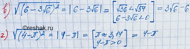
16.28 а) корень (4 - 2 корень 5)2;
б) корень (пи - 3)2;
в) корень (6 - 3 корень 6)2;
г) корень (4- пи)2.
Похожие решебники
Популярные решебники 8 класс Все решебники
*К сожалению, временные проблемы с публикацией комментариев с мобильных устройств.