Упр.969 ГДЗ Макарычев Миндюк 8 класс (Алгебра)
Решение #1 (Учебник 2024)
Решение #2 (Учебник 2024)
Решение #3 (Учебник 2024)
Решение #4 (Учебник 2019)
Решение #5 (Учебник 2019)

Рассмотрим вариант решения задания из учебника Макарычев, Миндюк, Нешков 8 класс, Просвещение:
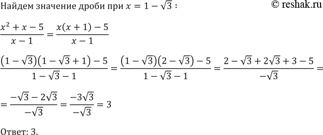
Найдите значение дроби (x2+x-5)/(x-1) при x=1- корень 3.
Найдите значение выражения:
а) -10^-4;
б) -0,2^-3;
в) (-0,8)^-2;
г) (-0,5)^-5;
д) -(-2)^-3;
е) -(-3)^-2.
Похожие решебники
Популярные решебники 8 класс Все решебники
*К сожалению, временные проблемы с публикацией комментариев с мобильных устройств.