Упр.843 ГДЗ Макарычев Миндюк 8 класс (Алгебра)
Решение #1 (Учебник 2024)
Решение #2 (Учебник 2024)
Решение #3 (Учебник 2019)
Решение #4 (Учебник 2019)

Рассмотрим вариант решения задания из учебника Макарычев, Миндюк, Нешков 8 класс, Просвещение:
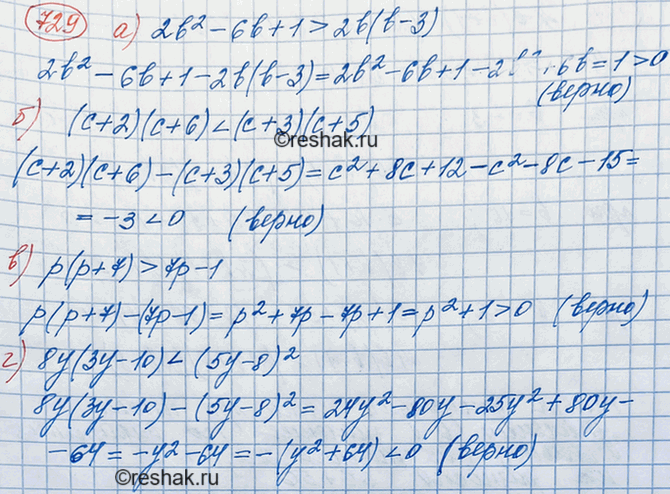
Докажите неравенство:
а) 2b2-6b + 1>2b(b-3);
б) (с + 2)(с + 6) < (с + 3)(с + 5);
в) р(р+ 7) > 7р- 1;
г) 8у (3у - 10) < (5у - 8)2.
а) При каких значениях а значения двучлена 2а - 1 меньше значений двучлена 7 - 1,2а?
б) При каких значениях р значения двучлена 1,5р- 1 больше значений двучлена 1 + 1,1р?
Похожие решебники
Популярные решебники 8 класс Все решебники
*размещая тексты в комментариях ниже, вы автоматически соглашаетесь с пользовательским соглашением