Упр.591 ГДЗ Макарычев Миндюк 8 класс (Алгебра)
Решение #1 (Учебник 2024)
Решение #2 (Учебник 2024)
Решение #3 (Учебник 2019)
Решение #4 (Учебник 2019)
Решение #5 (Учебник 2019)

Рассмотрим вариант решения задания из учебника Макарычев, Миндюк, Нешков 8 класс, Просвещение:
(Для работы в парах.) Не решая уравнения, выясните, имеет ли оно корни, и если имеет, то определите их знаки:
а) х2 + 7х - 1 = 0;
б) х2 - 7х + 1 = 0;
в) 5х2 + 17х + 16=0;
г) 19х2 - 23х + 5 = 0;
д) 2х2 + 5 корень 3х + 11 = 0;
е) 11х2 - 9х + 7 - 5 корень 2 = 0.
1) Сформулируйте теорему, на основании которой можно определить знаки корней.
2) Распределите, кто выполняет задания а), в), д), а кто — задания б), г), е), и выполните их.
3) Проверьте друг у друга, правильно ли выполнены задания. Исправьте ошибки, если они допущены.
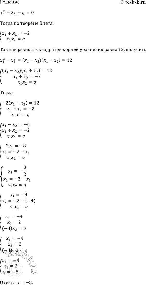
- Разность квадратов корней квадратного уравнения х2 + 2x + q= 0 равна 12. Найдите q.
Похожие решебники
Популярные решебники 8 класс Все решебники
*К сожалению, временные проблемы с публикацией комментариев с мобильных устройств.