Упр.576 ГДЗ Макарычев Миндюк 8 класс (Алгебра)
Решение #1 (Учебник 2024)
Решение #2 (Учебник 2024)
Решение #3 (Учебник 2019)
Решение #4 (Учебник 2019)

Рассмотрим вариант решения задания из учебника Макарычев, Миндюк, Нешков 8 класс, Просвещение:
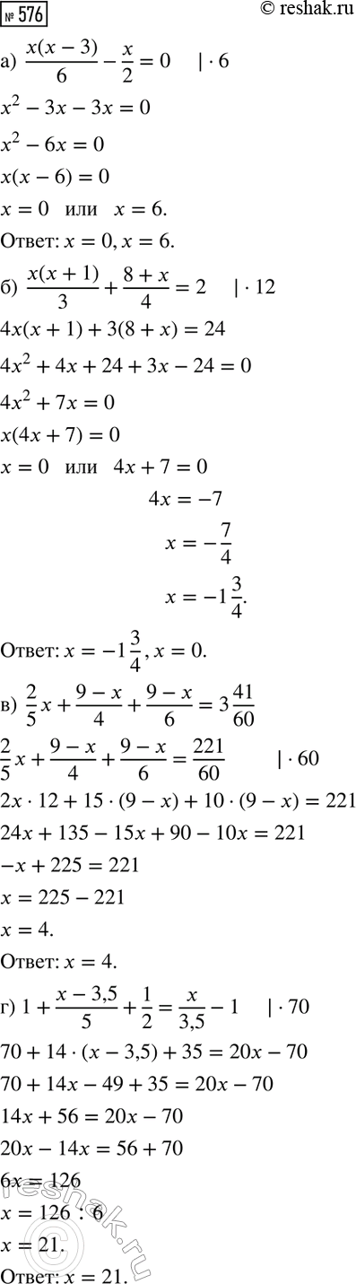
Решите уравнение:
а) (x(x - 3)/6 - x/2 = 0;
б) (x(x + 1)/3 + (8 + x)/4 = 2;
в) 2/5 x + (9 - x)/4 + (9 - x)/6 = 3 41/60;
г) 1 + (x - 3,5)/5 + 1/2 = x/3,5 - 1.
Сократите дробь:
Похожие решебники
Популярные решебники 8 класс Все решебники
*К сожалению, временные проблемы с публикацией комментариев с мобильных устройств.