Упр.510 ГДЗ Макарычев Миндюк 8 класс (Алгебра)
Решение #1 (Учебник 2024)
Решение #2 (Учебник 2024)
Решение #3 (Учебник 2019)
Решение #4 (Учебник 2019)
Решение #5 (Учебник 2019)

Рассмотрим вариант решения задания из учебника Макарычев, Миндюк, Нешков 8 класс, Просвещение:
Является ли квадратным уравнение:
а) 3,7x2- 5x+ 1 = 0;
б) 48x2 - x3 - 9 = 0;
в) 2,1х2 + 2х - 2/3 = 0;
г) х + x2 - 1 = 0;
д) 7х2 - 13 = 0;
е) -x2 = 0?
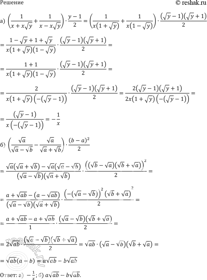
Упростите выражение:
Похожие решебники
Популярные решебники 8 класс Все решебники
*К сожалению, временные проблемы с публикацией комментариев с мобильных устройств.