Упр.439 ГДЗ Макарычев Миндюк 8 класс (Алгебра)
Решение #1 (Учебник 2024)
Решение #2 (Учебник 2024)
Решение #3 (Учебник 2024)
Решение #4 (Учебник 2019)
Решение #5 (Учебник 2019)

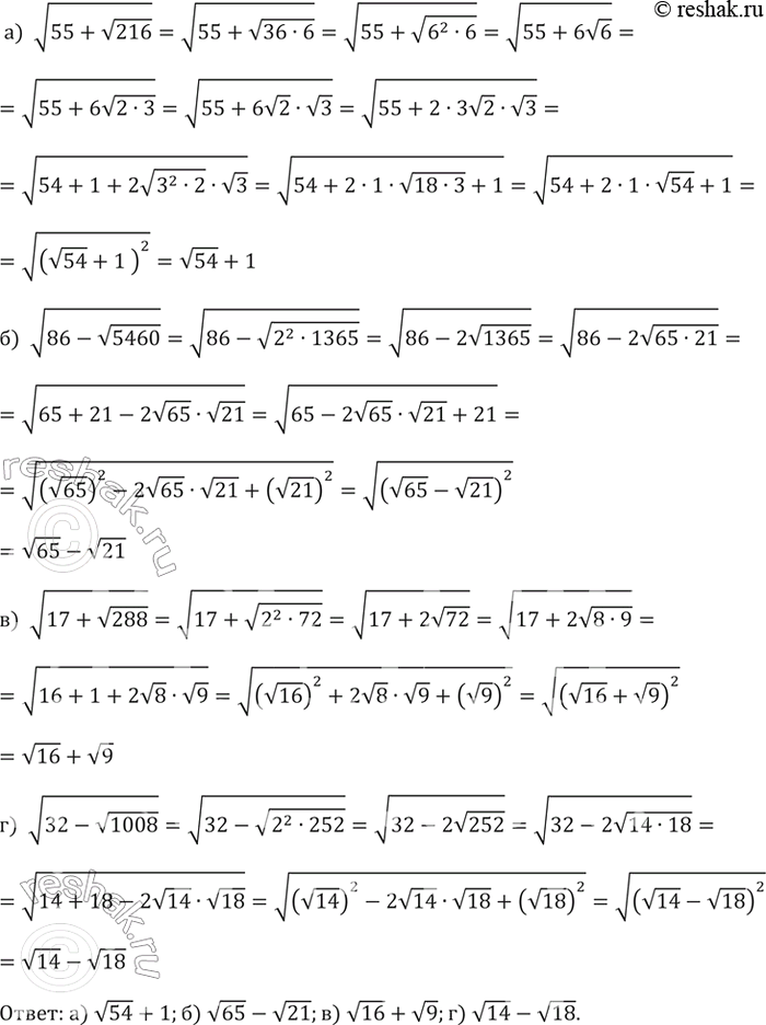
Рассмотрим вариант решения задания из учебника Макарычев, Миндюк, Нешков 8 класс, Просвещение:
Освободитесь от внешнего радикала, пользуясь формулой двойного радикала:
а) корень (55 + корень 216);
б) корень (86 - корень 5460);
в) корень (17 + корень 288);
г) корень (32- корень 1008).
Среди чисел
15 корень 3 - 4 корень 2, 6 - корень 12, корень 80 - 5 корень 3, корень 75 - 4 корень 5, 1/(2 корень 3-6), 1/(корень 675 - корень 32) есть пара взаимно обратных чисел и пара противоположных чисел. Найдите эти пары.
Похожие решебники
Популярные решебники 8 класс Все решебники
*размещая тексты в комментариях ниже, вы автоматически соглашаетесь с пользовательским соглашением