Упр.429 ГДЗ Макарычев Миндюк 8 класс (Алгебра)
Решение #1 (Учебник 2024)
Решение #2 (Учебник 2024)
Решение #3 (Учебник 2019)
Решение #4 (Учебник 2019)
Решение #5 (Учебник 2019)

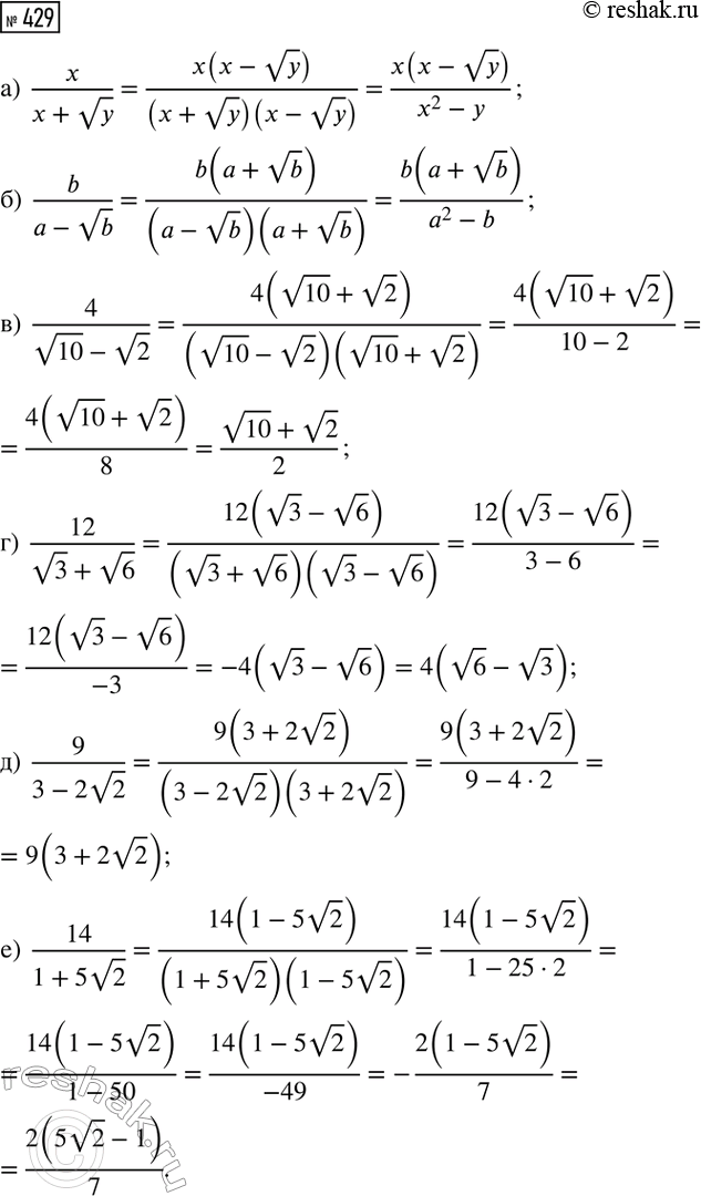
Рассмотрим вариант решения задания из учебника Макарычев, Миндюк, Нешков 8 класс, Просвещение:
Освободитесь от иррациональности в знаменателе дроби:
а) x/(x + vy);
б) b/(a - vb);
в) 4/(v10 - v2);
г) 12/(v3 + v6);
д) 9/(3 - 2v2);
е) 14/(1 + 5v2).
Сократите дробь:
Похожие решебники
Популярные решебники 8 класс Все решебники
*размещая тексты в комментариях ниже, вы автоматически соглашаетесь с пользовательским соглашением