Упр.285 ГДЗ Макарычев Миндюк 8 класс (Алгебра)
Решение #1 (Учебник 2024)
Решение #2 (Учебник 2024)
Решение #3 (Учебник 2024)
Решение #4 (Учебник 2019)
Решение #5 (Учебник 2019)

Рассмотрим вариант решения задания из учебника Макарычев, Миндюк, Нешков 8 класс, Просвещение:
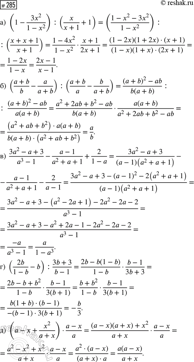
Упростите выражение:
а) (1 - 3x^2/(1 - x^2)) : (x/(x + 1) + 1);
б) ((a + b)/b - a/(a + b)) : ((a + b)/a - b/(a + b));
в) (3a^2 - a + 3)/(a^3 - 1) - (a - 1)/(a^2 + a + 1) + 2/(1 - a);
г) (2b/(1 - b) - b) : (3b + 3)/(b - 1);
д) (a - x + x^2/(a + x)) · (a - x)/a.
Расположите в порядке возрастания числа
4,62; 3,(3); -2,75...; -2,63... .
Похожие решебники
Популярные решебники 8 класс Все решебники
*К сожалению, временные проблемы с публикацией комментариев с мобильных устройств.