Упр.1210 ГДЗ Макарычев Миндюк 8 класс (Алгебра)
Решение #1 (Учебник 2024)
Решение #2 (Учебник 2024)
Решение #3 (Учебник 2024)

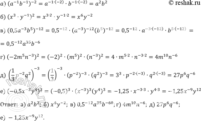
Рассмотрим вариант решения задания из учебника Макарычев, Миндюк, Нешков 8 класс, Просвещение:
Представьте степень в виде произведения:
а) (a^-1b^-1)^-2;
б) (x3y^-1)2;
в) (0,5a^-3b5)^-12;
г) (-2m5n^-3)2;
д) (1/3*p^-2q2)^-3;
е) (-0,5x^-3y4)3.
Похожие решебники
Популярные решебники 8 класс Все решебники
*размещая тексты в комментариях ниже, вы автоматически соглашаетесь с пользовательским соглашением