Упр.1179 ГДЗ Макарычев Миндюк 8 класс (Алгебра)
Решение #1 (Учебник 2024)
Решение #2 (Учебник 2024)

Рассмотрим вариант решения задания из учебника Макарычев, Миндюк, Нешков 8 класс, Просвещение:
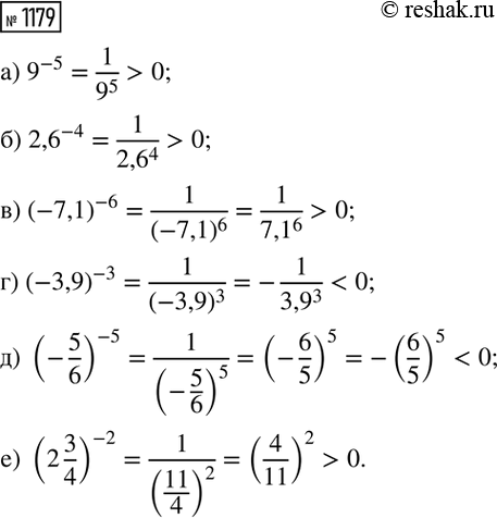
Сравните с нулём значение степени:
а) 9^(-5); в) (-7,1)^(-6); д) (-5/6)^(-5);
б) 2,6^(-4); г) (-3,9)^(-3); е) (2 3/4)^(-2).
Похожие решебники
Популярные решебники 8 класс Все решебники
*размещая тексты в комментариях ниже, вы автоматически соглашаетесь с пользовательским соглашением