Упр.1054 ГДЗ Макарычев Миндюк 8 класс (Алгебра)
Решение #1 (Учебник 2024)
Решение #2 (Учебник 2024)
Решение #3 (Учебник 2019)
Решение #4 (Учебник 2019)

Рассмотрим вариант решения задания из учебника Макарычев, Миндюк, Нешков 8 класс, Просвещение:
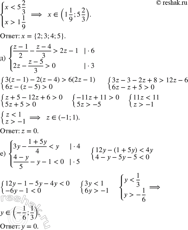
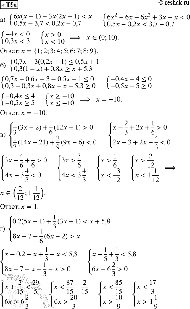
Найдите целые решения системы неравенств:
а) {6x(x - 1) - 3x(2x - 1) < x, 0,5x - 3,7 < 0,2x - 0,7;
б) {0,7x - 3(0,2x + 1) ? 0,5x + 1, 0,3(1 - x) + 0,8x ? x + 5,3;
в) {1/3 (3x - 2) + 1/6 (12x + 1) > 0, 1/7 (14x - 21) + 2/9 (9x - 6) < 0;
г) {0,2(5x - 1) + 1/3 (3x + 1) < x + 5,8, 8x - 7 - 1/6 (6x - 2) > x;
д) {(z - 1)/2 - (z - 4)/3 > 2z - 1, 2z - (z - 5)/3 > 0;
е) {3y - (1 + 5y)/4 < y, (4 - y)/5 - y - 1 < 0.
На гистограмме (рис. 55) представлены данные о распределении рабочих цеха по возрастным группам. Пользуясь гистограммой, найдите:
а) число рабочих цеха в возрасте от 18 до 23 лет; от 43 до 48 лет;
б) возрастную группу, к которой относится наибольшее число рабочих;
в) возрастную группу, к которой относится наименьшее число рабочих;
г) общее число рабочих цеха.
Похожие решебники
Популярные решебники 8 класс Все решебники
*К сожалению, временные проблемы с публикацией комментариев с мобильных устройств.