Упр.42.16 ГДЗ Мордкович 7 класс (Алгебра)
Решение #1
Решение #2

Рассмотрим вариант решения задания из учебника Мордкович, Александрова 7 класс, Мнемозина:
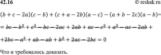
Докажите, что выражение
(b + с - 2а)(с - b) + (с + а - 2b)(а - с) - (а + b - 2с)(а - b) тождественно равно нулю.
Похожие решебники
Популярные решебники 7 класс Все решебники
*размещая тексты в комментариях ниже, вы автоматически соглашаетесь с пользовательским соглашением