Упр.40.28 ГДЗ Мордкович 7 класс (Алгебра)
Решение #1
Решение #2

Рассмотрим вариант решения задания из учебника Мордкович, Александрова 7 класс, Мнемозина:
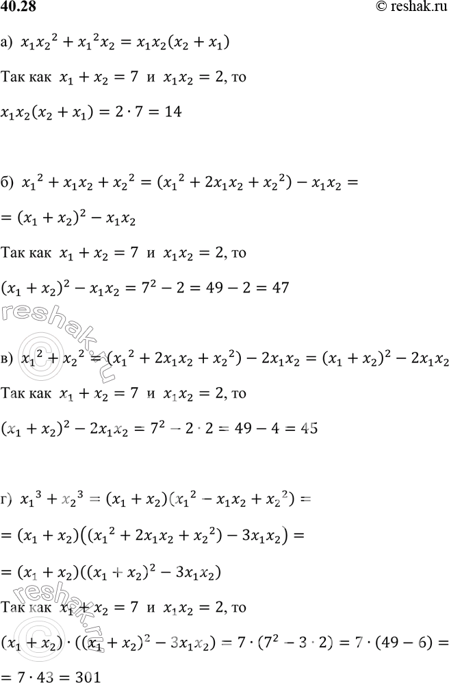
Пусть х1 + х2 = 7, x1x2 = 2. Вычислите:
а) x2x2^2;
б) х1^2 + х1х2 + х2^2;
в) x1^2 + х2^2;
г) х1^3 + х2^3.
Похожие решебники
Популярные решебники 7 класс Все решебники
*размещая тексты в комментариях ниже, вы автоматически соглашаетесь с пользовательским соглашением